PKPD modeling and simulation are key technologies for optimizing the drug dose.
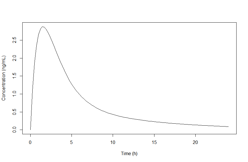
Pharmacokinetics (PK) is a discipline that examines how the body processes the drug of interest. This involves investigating the absorption, distribution, metabolism, and excretion (ADME) of the drug. The ADME characteristics of the drug manifest themselves as particular time-concentration curves in the blood and various tissue compartments.
